https://iopscience.iop.org/article/10.1088/1748-9326/adf12d
Abstract: This study critically examines the use of ‘no additional warming’ approaches, such as temperature neutrality (TN), to determine national climate policy on agricultural methane (CH4). The reduced-complexity climate model MAGICC was used to quantify future national warming contributions for Ireland (a country with high per-capita CH4 emissions driven by large-scale dairy and beef production) under a business-as-usual pathway and three alternative scenarios: (1) TN, (2) a split-gas emission target, or (3) net-zero greenhouse gas emissions by 2050. TN implicitly ‘grandfathers’ CH4 emissions, ‘rewarding’ modest emission reductions even when per capita warming remains high, thereby shifting the mitigation burden and constraining the developmental space for low-income, food-insecure countries. Weaker CH4 emission reduction ambition, i.e. use of TN at the national level, is often justified on the basis of protecting global food security, because it can avoid ‘emission leakage’ from countries that export livestock products with below-average GHG intensities. However, this study demonstrates such justifications have little merit given that global trade in animal-sourced foods largely benefits wealthy markets, and often relies on imported feed, contributing to indirect land use change. The study concludes that the TN approach is not a robust basis for fair and effective national climate policy, and risks a potentially costly underestimation of both long-term CH4 mitigation and carbon dioxide removal in the context of national planning for an equitable, sustainable, food secure future.
This is a little outside my usual reading material, but there has been some local press attention here and here(and some bluesky criticism) and I do think that agriculture continues to be the elephant in the room when it comes to Irish GHG emissions (discussed a bit in EPA_ireland_ghg_emissions_july_2025, Ireland_Europe_CO2_alignment_report_2025).
The Climate Change Advisory Council (CCAC) is mandated to recommend carbon budgets aligned with Ireland’s National Climate Objective, and has adopted a national “temperature neutrality” (TN) framing for its recommendations whereby Ireland would aim at “global temperature stabilisation” instead of net-zero. Climate academics are not happy and point out in this paper that this a) goes against the EU interpretation as being net-zero (NZ) by 2050, b) does not satisfy the temperature limits in the Paris Agreement that require significant CH4 reductions, c) unfairly privileges countries that are already big CH4 emitters, and d) doesn’t do anything for global food security which is a common excuse trotted out by the Irish agriculture sector when they are challenged on emissions.
I had not thought much about the food safety issue before but this diagram is provocative
There is very little exporting of animal-sourced food products from higher to lower income countries, and 75% of global indirect land use change for animal feed is for higher income countries. This suggests that animal agriculture in wealthier countries constrains land availability and raises food prices in the poorer countries.
Another common argument from Irish agriculture that isn’t addressed in this paper goes something like “GHG emission intensities for beef/dairy are lower for Ireland than most other countries and so if we don’t produce and export, some other higher emitting country will”. I used to find this argument a bit compelling, but then I learned about “market leakage” in Estimating_the_emissions_reductions_from_supply_side_fossil_fuel_interventions - specifically that “market leakage” is the term given to the phenomenon whereby reduced supply from one source is partially offset by increased production from other sources, and that it’s almost never 100%. Instead, reduced supply almost always results in some reduction in demand.
Assuming the CCAC don’t argue with the modelling in this paper (and I haven’t heard anything to that effect), then it’s hard to read all the above and not feel like the Irish government is once again trying to wriggle out of commitments to keep the farmers happy.
Notes
- Ireland’s national policy of ‘climate neutrality’ by 2050 - but what does that mean?
- CH4 responsible for 0.5C of total warming increase attributed to GHG emissions from 2010 to 2019 relative to pre-industrial levels. CO2 has contributed 0.8C in the same period.
- Since 2006, CH4 emissions have increased rapidly and between 2020 and 2023 growth.
- CH4 has an atmospheric lifetime ~10 years. This means gradual reductions can stabilise it’s contributions to warming.
- And so CH4 reductions have the potential to reduce global warming, not just halt it!
- Agriculture responsible for ~40% of global anthropogenic CH4 emissions. Mostly from ruminants and rice. Rest is mostly fossil fuel and waste industries.
- “If current dietary patterns and agricultural practices continue, global food consumption could contribute 0.7C–0.9C of warming by 2100, with CH4 being responsible for up to 60% of projected warming from business-as-usual (BAU) food consumption”
- Global methane pledge: signed by 158 countries - reduce anthropogenic CH4 by 30% across all sectors by 2030, compared to 2020.
- Climate neutrality is a term thrown around without an agreed definition. Some definitions used
- stabilisation of a country’s contribution to global warming i.e. ‘temperature neutrality’ (TN) or ‘no additional warming’.
- this locks in the ability of higher emitters (usually wealthier countries) to keep emitting more than lower emitters. Also allows for small reductions from a high baseline to meet the ‘no additional warming’ threshold
- Ireland, with it’s high share of CH4 emissions from agriculture would get to mostly continue with business as usual with minimal ruminant ag. reductions.
- WOW, “the global area devoted to food crops is declining, from 51% of land used for food production in the 1960s to 37% in the 2010s, and is projected to fall further to 29% by the 2030s.”
- What about the argument that Ireland as “as one of the most emissions-efficient producers of animal-sourced food products” (ASFP), should be encouraged to produce and export? Otherwise will either contribute to food insecurity, or other countries with higher emissions will take our place and we’ll get “emissions leakage”?
- Irish dairy and beef systems consume just 0.21 and 0.43 kg of human-edible protein respectively, for every 1 kg produced.
- Methodology
- Compares TN (temperature neutral), two split-gas (SG), NZ (net-zero), BAU (business as usual) scenarios.
- Using MAGICC, a process based reduced-complexity climate model calibrated against higher complexity atmosphere-ocean and carbon cycle models
- Results
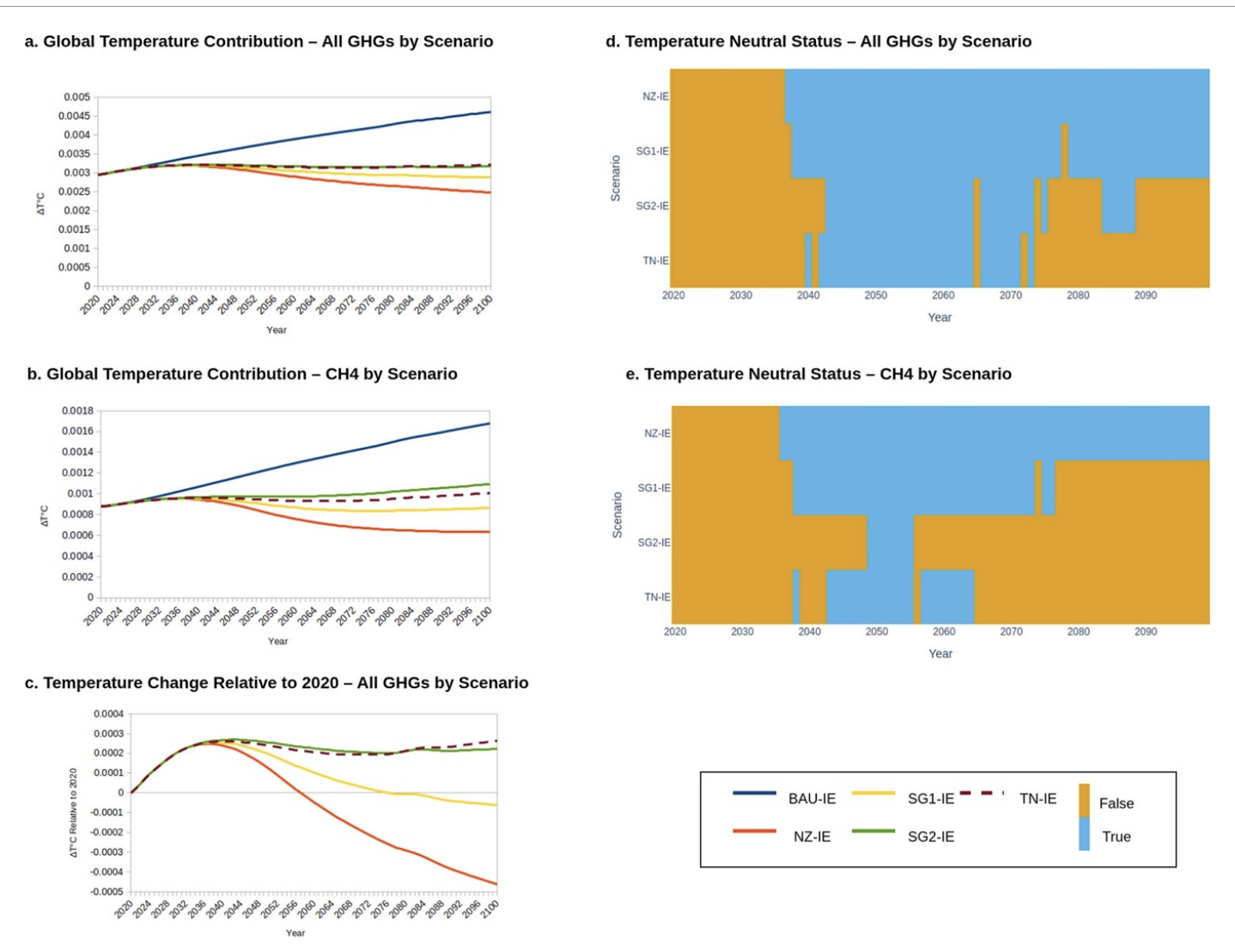
![]()
- Temperature neutrality status: this is relative to the previous year, true if emissions are stable or decreasing, otherwise false.
- SG1 and TN show a reversal in warming trends from the ∼2040s onward
- TN-IE and SG2-IE fall in and out of TN, especially post-2070
![]()
- Disaggregated contribution to global temperature change
- TN-IE and SG2-IE both show an increased contribution from CH4 over time.
- “as global background CH4 concentration falls under SSP126, the relative warming effect of each tonne of remaining CH4 emission increases”
- “even constant CH4 emissions result in small but cumulative warming over time, meaning that constant emissions do not equate to TN.”
- Implications for equitable food system transition
- High-income markets concentrate demand for ASFP, with production and trade flowing toward wealthier consumers with greater purchasing power. This reinforces a supply system that depends on imported feed and land-use expansion beyond local territorial limits, often through iLUC (indirect land use change). Meanwhile, low-income markets face persistent barriers to accessing nutrient-dense foods due to limited purchasing power.
- ~47% of the global population resided in low- and lower middle-income countries, while ∼35% resided in upper-middle-income countries and ∼17% in high income countries.
- under-nutrition ~9%–10% globally, > 80% of undernourished people were in low and lower-middle-income countries, with less than 5% residing in high-income countries
![]()
- Very little ASFP produced in higher income countries goes to lower income countries. Mostly trade amongst themselves.
- “high- and uppermiddle-income countries together account for ∼75% of iLUC, highlighting their reliance on land-use expansion beyond national borders to sustain their production levels.” - what does this mean? That wealthy countries rely on land use in other countries to support growing crops for human and animal consumption.
- Discussion
- Difference between TN and maximising CH4 reductions per the PA could be as much as 0.2C by 2050.
- The CCAC TN scenario did briefly achieve TN, but failed to account for small cumulative warming from residual CH4 emissions, and declining background CH4 emissions. So despite CCAC claims, would not be equivalent to NZ outcome for short lived gases.
- Shortcomings of the TN for setting national emissions targets
- insensitivity to global emissions trends and modelling assumptions, including the mistaken notion that constant CH4 emissions equate to TN, makes targets a movable feast
- risk of over-reliance on (anticipated) CH4 reduction in the short-term, which may lead to underestimation of the long-term need for CO2 removals,
- weights threats to Irish rural livelihoods heavily instead of previous considerations around a fair or just contribution from Ireland to global emission reductions.
- https://www.rte.ie/news/analysis-and-comment/2025/0816/1528712-climate-neutrality/ +
